운동별 · 작전별 사적지 현황
유창순 집터
기본정보
| 사적지 분류 | 국내항일운동사적지 |
|---|---|
| 운동계열분류 | 국내독립운동 |
| 종류 | 가옥 |
| 상태 | 변형 / 현대 당시의 모습은 찾을 수 없고 헛간채 일부만 남아 있다. |
| 정의 | 풍기광복단과 광복회에 참여했던 유창순이 살았던 곳 |
관련정보
| 관련 사건 | 1917 장승원 처단 사건 |
|---|---|
| 관련 조직 | 풍기광복단/광복회 |
| 관련 인물 | 박상진(朴尙鎭)/이관구(李觀求)/우재룡(禹在龍)/채기중(蔡基中)/양제안(梁濟安)/한훈(韓焄)/유장렬(柳獐烈)/강순필(姜順必)/권영만(權寧萬)/정운기(鄭雲淇)/신양춘(申陽春)/임세규(林世圭) |
| 관련 내용 |
유창순(庾昌淳, 1881∼1944)은 1913년 풍기에서 조직된 광복단에 참여하면서 민족운동에 투신하였다. 풍기광복단은 1913년 풍기에서 채기중·양제안·한훈·유장렬·강순필 등 의병적 성향의 인물들이 중심이 된 비밀결사였다. 1915년에는 박상진·우재룡·권영만·이관구 등이 중심이 되어 조직된 광복회(光復會)에 참여하였다. 그는 광복회에서 선전임무를 맡았으며, 충북 출신의 정운기와 신양춘을 광복회에 가입시켜 광복회가 충북지역으로 활동 영역을 넓히는데 기여했다. 1917년 10월 광복회 자금모집에 참여해 채기중 등과 함께「경고(警告)」라는 통고문을 발송해 경상도 지역의 자산가들로부터 자금을 모집했다. 또한 광복회의 의협투쟁에도 참여해 1917년 11월 채기중·강순필·임세규와 함께 장승원을 처단하기도 하였다. 1918년 1월 광복회 주요 인물들과 함께 체포되어 징역 10년형을 선고받고 옥고를 치렀다. 1963년 건국훈장 독립장을 추서하였다. |
| 참고 문헌 |
「박상진 등 40인 예심종결결정」, 1918년 10월 19일, 국가보훈처 공훈전자사료관. 「박상진 등 19인 판결문」, 1919년 9월 22일, 국가보훈처 공훈전자사료관. 조동걸,「대한광복회의 결성과 그 선행조직」,『한국민족주의의 성립과 독립운동사 연구』, 지식산업사, 1989, 262∼265쪽. 조동걸, 「대한광복회 연구」, 『한국민족주의의 성립과 독립운동사연구』, 지식산업사, 1989, 278∼302쪽. 이성우,『광복회 연구』, 충남대학교 박사학위논문, 2007, 71∼86쪽. |
*좌표를 클릭하시면 '길찾기'로 연결됩니다.
지역정보
| 당시 주소 | 충청남도 천안군 수신면 복다회리 |
|---|---|
| 주소 | 충남 천안시 병천면 송정리 424-2 |
| 도로명 주소 | 충청남도 천안시 동남구 병천면 송정리5길 20 |
| 위치 고증 | 유창순 관련 「판결문」에는 주소가 수신면 복다회리라 기록되어 있다. 복다회리는 1973년 행정구역 개편에 의해 수신면에서 병천면으로 편입되었고, 1995년에 고유지명인 송정리로 변경되었다. 후손인 유희봉과 송정리 지역주민들의 증언을 통해 송정리 집터를 확인할 수 있으며, 집터 뒤에 묘가 위치하고 있다. |














유창순 집터
유창순 집터 전경
유창순
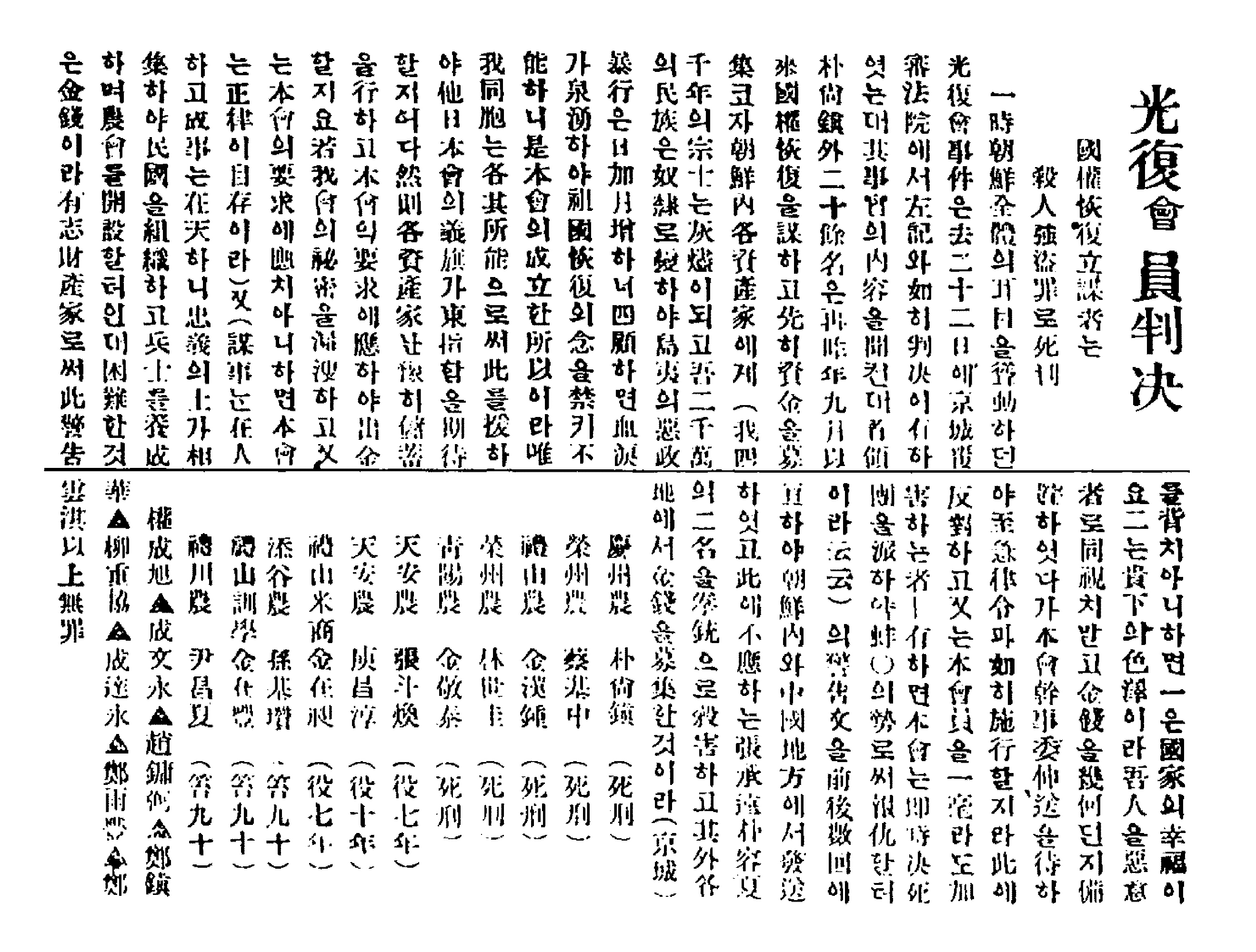
유창순 재판 관련기사(『독립신문』, 1919년 10월 10일)